Lorenz Transformations
In 1895, one year after the death of the great German physicist-experimenter Hertz, the Lorenz coordinate transformations came out. Lorenz, in contrast to Hertz, belonged to the group of scientists searching for a solution of the Michelson problem alternative to the hypothesis of the carrying along of ether by the earth.
For fairness sake we note, that the idea of contraction of the interferometer size along the x axis was proposed by George Fitzgerald, but Lorenz had a concrete theory, that was the reason for his name being linked to the transformations.


H. Lorenz and his transformations
However, Lorenz also did not manage to solve the problem completely. The theory propounded by him was not just insufficient, in addition, it required the introduction of a new hypotheses for its survival.
With the appearance of Einsteins special relativity theory came the natural completion of sciences inability to explain the ether deadlock which had arisen. Having severely dealt with the idea of ether, Einstein declared the light velocity as a world constant, and, as there were no other proposals by men of science, the constant was accepted, though not immediately.


A. Einstein and ... relativity, by which means it was learned to explain everything.
Everybody knows, that to reason after the event is easier (hindsight). This is why sometimes one can hear: How stupid I am. Everything should have been done in a different way, then everything would be otherwise. So, we too, being late for one hundred years, try to find out which way our remote ancestors should have acted.
It is obvious for us, that they made a mistake when choosing the paradigm. What this mistake has led to is also obvious for many - leading to a protracted crisis of science at all levels. What still remains mysterious is a question, where is the mistake, in which place? If we answer this question, then all of us will have a hope to get out of the crisis. However, to do that it will be necessary to perform a feat over self: to give up our habitual world view, the world view for which many still receive their salaries, that of there not being an ether.
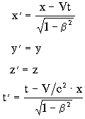
If one looks attentively at the Lorenz transformations and tries to explain from this position the phenomenon of standing wave compression, then it is discovered that the transformations produce a contradiction with the phenomenon. The contradiction consists in that the compression of standing waves occurs not only along x axis, but also along the y and z axis too, which runs counter to the Lorenz transformations.
Before we said that standing wave is a base for standard of length. If we suppose that the compression of standing waves and contraction of the length standard to be synchronous due to the electromagnetic nature of bonds between atoms and molecules, then we must admit the ineffectiveness of the Lorenz transformations, because of their inability to describe contraction crosswise to motion.
If we are afraid to declare Lorenz transformations to be erroneous, then we must say that there is no compression of standing waves in nature.
Those, who have grown accustomed to Lorenz transformations and who on the basis of them have built their personal career and notion of the world, will defend them or, even, just pass the found disparity over in silence - this practice of silence has always helped scientists to overcome obvious contradictions in the accepted theories. Those, who will express a wish to give up the habitual world view, will go on further together with us.
The contradiction which arises is quite resolvable - it is necessary to choose those transformations which are in perfect agreement with the discovered phenomenon.
Page 7 of 26