Standing Waves Compression
To make sure that the discovery claimed is real, it is necessary to perform a series of mathematical procedures and, as a matter of fact, to solve the equation of a standing wave for a condition where the Hertz device moves in the ether with a velocity v.

Fig. 1. Irradiator frequency is constant. When increasing velocity, the standing wave packet is compressed.
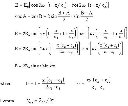
Solution of standing wave equation


(the
derivation is shown here)

In the next chapter, we will describe an acoustic experiment proving the truth of the regularities derived. However, there is a problem of transition from the acoustic experimental results to that of electrodynamics.
The problem is caused by the supposed change in the world view denying the presence of ether, but in the days of Michelson such a problem did not exist. If our ancestors had known of standing wave compression in acoustics, then they would expect, first of all, detection of compressing electromagnetic standing waves, rather than determination of velocity in the ether.
Now we understand the reason, why it is impossible to detect the compression of electromagnetic standing waves, but this will follow a little later. For the time being, we will not discuss the legitimacy of extending the acoustic experimental results onto the field of electromagnetic waves, however, let us see what consequences such an extension can yield.
Page 5 of 26